Deductive Reasoning
Whereas inductive reasoning draws general principles from specific instances, deductive reasoning draws specific conclusions from general principles or premises. A premise is a previous statement or proposition from which another is inferred or follows as a conclusion. Unlike inductive reasoning, which always involves uncertainty, the conclusions from deductive inference are certain provided the premises are true. Scientists use inductive reasoning to formulate hypothesis and theories, and deductive reasoning when applying them to specific situations. The following are examples of deductive reasoning.
Examples
Physics - electric circuits
- first premise: The current in an electrical circuit is directly proportional to the voltage and inversely proportional to the resistance (I=V/R).
- second premise: The resistance in a circuit is doubled.
- inference: Therefore, the current is cut in half.
Chemistry - element classification
- first premise: Noble gases are stable.
- second premise: Neon is a noble gas.
- inference: Therefore, neon is stable.
Biology – plant classification
- first premise: Monocot flower parts are in multiples of three.
- second premise: Apple flowers have five petals.
- inference: Therefore, apple trees are not monocots.
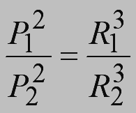
Astronomy – planetary motion
- first premise: The ratio of the squares of the periods of any two planets is equal to the ratio of the cubes of their average distances from the Sun.
- second premise: Earth is closer to the Sun than Mars.
- inference: Therefore, the Earth orbits the Sun faster than Mars.
Examples - See Sourcebook for Details
- Atomic Radius
- Epidemiology see The Sourcebook for Teaching Science 6.3.3
- Earthquake Epicenters (See epicenter activity at ExploreLeraning)